
Introduction and general synthetic pathways for phenylpropanoids and the major phenylpropanoid group the flavonoids.
__________________________________________________________________________________________ Reading Assignment for the 1st
Phenylpropanoid
lecture: a)
REQUIRED: 1 - Brenda
Winkel-Shirley. 2002. Biosynthesis of flavonoids and effects of stress.
Current Opinion in Plant Biology 5: 218-223.
2 - Chapter
24, sections 24.9, 24.10 and 24.12 of the Biochemistry & Molecular Biology of Plants
class text. b)
OPTIONAL: 1 - Yuko Fukui, Yoshikazu
Tanakaa, Takaaki Kusumia, Takashi Iwashitab and Kyosuke Nomoto.
2003. A rationale for the shift in colour towards blue in transgenic carnation flowers expressing the flavonoid 3',5'-
hydroxylase gene. Phytochemistry 63: 15-23.
2 - Van Eenennaam, A.L., Kim Lincoln, Timothy P. Durrett, Henry E. Valentin, Christine K. Shewmaker, Greg M. Thorne, Jian Jiang, Susan R. Baszis, Charlene K. Levering, Eric D. Aasen, Ming Hao, Joshua C. Stein, Susan R. Norris, and Robert L. Last. 2003. Engineering Vitamin E Content: From Arabidopsis Mutant to Soy Oil. Plant Cell 15: 3007-3019.
3 - Dixon, R.A. 1999. Isoflavonoids: biochemistry, molecular biology and biological functions. In Comprehensive Natural Products Chemistry, Vol. 1 (Sankawa, U., ed.) Elsevier, Oxford, pp. 773-823.
__________________________________________________________________________________________
GENERAL PHENYLPROPANOIDS
General "phenolic" metabolism that provides precursors for the cell wall component lignin, flavonoids, amino acids (tryptophan and tyrosine), and secondary metabolites generated from these. Comprised of the shikimate pathway and the "general phenylpropanoid pathway.


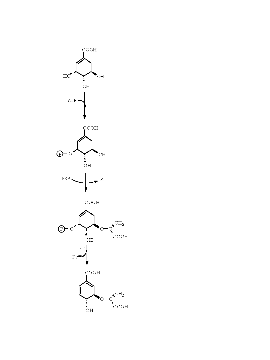
THE SHIKIMATE PATHWAY
A primary pathway in plants that in some ways delineates the biosynthetic capabilities of plants from other higher organisms (such as animals).
Because of the importance in plants of compounds derived from these aromatic molecules, about 20% of the total carbon fixed by plants (up to 50% of plant dry mass) flows through this pathway.
OVERVIEW
PHENYLPROPANOIDS
All phenylpropanoids are derived from p-coumaric acid and most from cinnamic acid.
Thus, the formation of cinnamic acid from phenylalanine by the enzyme phenylalanine ammonia-lyase is referred to as the branch-point between primary metabolism (Shikimate) and secondary metabolism (phenylpropanoids)
OVERVIEW
Pathways
Several major classes of plant compounds are derived from phenylalanine: including, flavonoids, coumarins, stilbenes, and benzoic acid.
The initial steps in the biosynthesis of all these compounds are shared through the general phenylpropanoid pathway:
The Shikimate Pathway
Phenylalanine Synthesis
Flavonoids
Some functions of flavonoids
1. Attractants
a.
b.
2. UV protection
3. Signaling
4. Defense
a.
b.
c.
Biosynthesis of flavonoid subclasses including:
Soyfoods & Isoflavones...
Narigenin is a key intermediate in the biosynthesis of a number of flavonoids (see Fig. 1 Winkel-Shirley, 2002).
Isoflavone engineering figures from Dr. C. Liu.
Many anthocyanins have glycosidic linkages to sugars and these can be engineered (Fukui et al., 2003).
Reading Assignment for the 2nd (& last) Phenylpropanoid
lecture:
__________________________________________________________________________________________
a) REQUIRED:1 - Boerjan W, J. Ralph and M. Baucher. 2003. Lignin biosynthesis. Annu Rev Plant Biol 54: 519-546.
2 - Chapter 24, sections 24.11, 24.13 and 24.14 of the Biochemistry & Molecular Biology of Plants class text.
3 - Bartel, B. and S.P.T. Matsuda. 2003. Seeing Red. Science 229: 352-353.
b) OPTIONAL:
1 - Xie, D.Y., S. B. Sharma, N. L. Paiva, D. Ferreira and R. A. Dixon. 2003. Role of Anthocyanidin Reductase, Encoded by BANYULS in Plant Flavonoid Biosynthesis. Science 299: 396-399.
2 - Raes, J., A. Rohde, J.H. Christensen, Y. Van de Peer and W. Boerjan. 2003. Genome-Wide Characterization of the Lignification Toolbox in Arabidopsis. Plant Physiol. 133: 1051-1071.
3 - Lee, K.W., Y.J. Kim, H.J. Lee and C.Y. Lee. 2003. Cocoa Has More Phenolic Phytochemicals and a Higher Antioxidant Capacity than Teas and Red Wine. J. Ag. Food Chem. 57: 7292-7295.
4 - Humphreys, J.M. and C. Chapple. 2002. Rewriting the lignin roadmap. Current Opinion in Plant Biology 5: 224-229.
__________________________________________________________________________________________
| All materials © 2004 David Hildebrand and Deane Falcone unless otherwise noted. | |||||||
| home | syllabus | lecture schedule & web notes | virtual office hours | messages & answers from the instructor | supplementary material | related links | What's new? |